|
公司基本資料信息
|
|||||||||||||||||||||||||||||
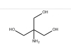
Synonym: OmniPur TRIS -CAS 77-86-1 - Calbiochem;Tris base, Molecular Biology Grade - CAS 77-86-1 - Calbiochem;Tris base, ULTROL Grade - CAS 77-86-1 - Calbiochem;Tris Buffer, 1.0 M, pH 8.0, Molecular Biology Grade - CAS 77-86-1 - Calbiochem;Tris Buffer, 100 mM, pH 7.4, Molecular Biology Grade - CAS 77-86-1 - Calbiochem;Tris(Hydroxymethyl)aminomethane (Trometamol) high purity;1-[ethyl(hydroxymethyl)amino]ethane-1,2-diol;TRIS,Tromethamine, Trometamol
MF: C4H11NO3
MW: 121.14
Product Category: tris;Pharmaceutical intermediates;API;ACS Grade Buffers;Amino Alcohols;Biological Buffers;Buffers A to Z;Building Blocks;Chemical Synthesis;Organic Building Blocks;Oxygen Compounds;Buffer;Biochemistry;Reagents for Electrophoresis
Melting Point: 167-172 °C(lit.)
Boiling Point: 219-220 °C10 mm Hg(lit.)
Density: 1,353 g/cm3
Vapour Pressure: 0.0267 hPa (20 °C)
Refractive Index: 1.4170 (estimate)
Fp: 219-220°C/10mm
Storage Temp.: 2-8°C
Stability: H2O: 4 M at 20 °C, clear, colorless
Form: crystalline
Color: white
PH: 10.5-12.0(4 m in water, 25 °C)
PH Range: 7 - 9
pKa: 8.1(at 25℃)
Water Solubility: 550 g/L (25 ºC)
λmax: λ: 260 nm Amax: 0.10
λ: 280 nm Amax: 0.08
Sensitive: Hygroscopic
Merck: 14,9772
Stability: Stable. Incompatible with bases, strong oxidizing agents. Protect from moisture.
InChlKey: LENZDBCJOHFCAS-UHFFFAOYSA-N
Hazard Codes: Xi
Risk Statements: 36/37/38
Safety Statements: 26-36-37/39-24/25-23
WGK Germany: 2
PTECS: TY2900000
F: 3
TSCA: Yes
Hazard Class: IRRITANT
Toxicity: LD50 orally in Rabbit: > 5000 mg/kg LD50 dermal Rat > 5000 mg/kg
Chemical Property: White crystal or powder. Melting point 171-172℃, boiling point 219-220℃/1.3kPa, soluble in ethanol and water, slightly soluble in ethyl acetate, benzene, insoluble in ether, carbon tetrachloride,copper,aluminum corrosion effects,irritant.
Uses of Biology: Tris base, also known as THAM, is widely used as a biological buffer or as a component of buffer formulations such as TAE and TBE buffers. Tris has a pKa of 8.06 and is very useful in the biology and biochemistry lab because it has buffering capabilities in the range of the typical physiological pH of most living organisms (pH 7.0-9.0). Tris has been reported to interfere with the activity of a number of enzymes, it should therefore be used carefully when studying proteins.
Uses: 1, Tris buffer, only nucleic acids and proteins are widely used as solvents.
2, Tris is used for protein crystal growth under different pH conditions.
3, Tris buffer having a low ionic strength can be used nematode (C. elegans) is formed lamin (lamin) intermediate fibers.
4, Tris is a major component of protein electrophoresis buffer.
5, Tris for the preparation of a surfactant, a vulcanization accelerator, and some drug intermediates.
6, Tris titrated also used as standard.
Chemical Property: White, crystalline solid. PH (0.1M aqueous solution) 10.6, corrosive to copper, brass, aluminum. Solubility in water 80 g/100 cc (20C). Combustible.
Uses: tromethamine can help mask odor in a formulation. It is also used as a buffer, keeping product pH stable.
Uses: In the synthesis of surface-active agents, vulcanization accelerators, pharmaceuticals. As emulsifying agent for cosmetic creams and lotions, mineral oil and paraffin wax emulsions, leather dressings, textile specialties, polishes, cleaning Compounds, so-called soluble oils. Absorbent for acidic gases. Biological buffer.
Therapeutic Funstion: Antacid
Biological Activity: Commonly used laboratory reagent



通過認(rèn)證 
