|
公司基本資料信息
未注冊
|
|||||||||||||||||||||||||
詳細(xì)說明
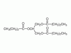
甘油三正丁酸酯>95%
Tributyrin
中文名 : 甘油三正丁酸酯
別名 : Glycerol Tributyrate
純度 / 分析方法 : >95.0%(GC)
等級 : EP
分子式 / 分子量 : C15H26O6=302.36
CAS編碼 : 60-01-5
MDL編碼 : MFCD00009392
mp : -75 °C
bp : 190 °C / 15mmHg
d : 1.04
flp : 180 °C
共0條 [查看全部] 相關(guān)評論




